某公司下属两企业的生产经营业绩状况如表26-10所示,其中正确的表述为()。A:甲企业速度每增长1%增加的利润额低于乙企业,所以乙企业的生产经营业绩比...

作者: rantiku 人气: - 评论: 0
问题 某公司下属两企业的生产经营业绩状况如表26-10所示,其中正确的表述为()。
选项 A:甲企业速度每增长1%增加的利润额低于乙企业,所以乙企业的生产经营业绩比甲企业好 B:甲企业的生产经营业绩比乙企业差 C:乙企业的增长率高于甲企业,所以乙企业的生产经营业绩比甲企业好 D:虽然甲企业的增长率低于乙企业,但甲企业利润额的增长量高于乙企业,所以甲企业的生产经营业绩比乙企业好 E:甲企业速度每增长1%增加的利润额高于乙企业,所以甲企业的生产经营业绩比乙企业好
答案 DE
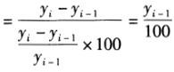
解析 虽然甲企业的增长率低于乙企业,但甲企业利润额增长量=600-500=100(万元),高于乙企业利润额增长量=84-60=24(万元),所以甲企业的生产经营业绩比乙企业好。根据公式:增长1%的绝对值=,即甲企业速度每增长1%增加的利润额=500/100=5(万元);乙企业速度每增长1%增加的利润额=60/100=0.6(万元),甲企业速度每增长1%增加的利润额高于乙企业,所以甲企业的生产经营业绩比乙企业好。

猜你喜欢

发表评论
更多 网友评论0 条评论)
暂无评论

访问排行

Copyright © 2012-2014 恰考网 Inc. 保留所有权利。 Powered by tikuer.com

页面耗时0.0526秒, 内存占用1.03 MB, Cache:redis,访问数据库16次