某变电所由系统供给电源,简化接线如图5-4所示。变压器参数:容量120MVA,Sj=100MVA;U xl-2=13.3%。U x1-3=12%, Ux2...

作者: rantiku 人气: - 评论: 0
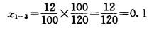
问题 某变电所由系统供给电源,简化接线如图5-4所示。变压器参数:容量120MVA,Sj=100MVA;U xl-2=13.3%。U x1-3=12%, Ux2-3=17.5%;容量比100/100/50。求各侧简化电抗标么值。 x1为()。
选项 A.0.0315; B.0.0325; C.0.0335; D.0.0345。
答案 B
解析 先求

猜你喜欢

发表评论
更多 网友评论0 条评论)
暂无评论

访问排行

Copyright © 2012-2014 恰考网 Inc. 保留所有权利。 Powered by tikuer.com

页面耗时0.0417秒, 内存占用1.03 MB, Cache:redis,访问数据库20次