某单回220kV架空送电线路,采用两分裂LGJ300/40导线,气象条件为:已知最低气温和最大覆冰是两个有效控制条件,则存在有效临界档距为: A 15...

作者: rantiku 人气: - 评论: 0
问题 某单回220kV架空送电线路,采用两分裂LGJ300/40导线,气象条件为:
选项 已知最低气温和最大覆冰是两个有效控制条件,则存在有效临界档距为: A 155m B 121m C 92m D 128m
答案 B
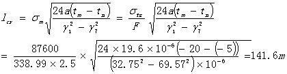
解析 根据《电力工程高压送电线路设计手册》P187公式3-3-16,3-3-19,3-3-20三式及上几题的计算结果,得: 最低气温是比载:求最大覆冰时综合比载为:自重加冰重覆冰时风荷载:,其中2.5为安全系数。

猜你喜欢

发表评论
更多 网友评论0 条评论)
暂无评论

访问排行

Copyright © 2012-2014 恰考网 Inc. 保留所有权利。 Powered by tikuer.com

页面耗时0.0498秒, 内存占用1.03 MB, Cache:redis,访问数据库19次