若已知系统简图如图5-8所示。且图中正序电抗x1Σ=0.055,负序电抗x2Σ=0.0565,零序电抗x0Σ=0.0424,Sj=1000MVA。 ...

作者: rantiku 人气: - 评论: 0
问题 若已知系统简图如图5-8所示。且图中正序电抗x1Σ=0.055,负序电抗x2Σ=0.0565,零序电抗x0Σ=0.0424,Sj=1000MVA。 单相短路电流I" (1)为()。
选项 A.22.44kA; B.21.44kA; C.23.44kA; D.20.44kA,
答案 B
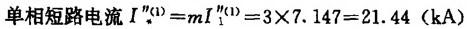
解析

猜你喜欢

发表评论
更多 网友评论0 条评论)
暂无评论

访问排行

Copyright © 2012-2014 恰考网 Inc. 保留所有权利。 Powered by tikuer.com

页面耗时0.0847秒, 内存占用1.03 MB, Cache:redis,访问数据库19次