—台电压比为525/230±8X1.25%/35kV的自耦变压器,当高压側电压升髙到550kV时,要求中压侧仍维持230kV. 调压后,低压侧电压为(...

作者: rantiku 人气: - 评论: 0
问题 —台电压比为525/230±8X1.25%/35kV的自耦变压器,当高压側电压升髙到550kV时,要求中压侧仍维持230kV. 调压后,低压侧电压为()。
选项 A.35kV; B.37.5kV; C.37.9kV; D.38.2kV。
答案 C
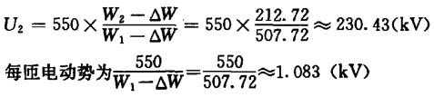
解析 解答过程: 计算过程参考《电力工程电气设计手册》(1)第219页。 分接头的位置应放到6X1.25%位置上,这样实际调整减少的匝数 △W=2.88X6=17.28(匝)。再重新核算调整后中压侧的实际电压为 每匝电动势为 第三绕组电压U3=35X1.083=37.905(kV)。

猜你喜欢

发表评论
更多 网友评论0 条评论)
暂无评论

访问排行

Copyright © 2012-2014 恰考网 Inc. 保留所有权利。 Powered by tikuer.com

页面耗时0.0475秒, 内存占用1.03 MB, Cache:redis,访问数据库18次