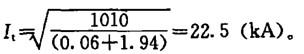
某11OkV系统,断路器的全分闸时间为0.06s,主保护动作时间为0.09s,后备保护动作时间为1.94s。 经计算,短路电流热效应Qdt =1O1O...

作者: rantiku 人气: - 评论: 0
问题 某11OkV系统,断路器的全分闸时间为0.06s,主保护动作时间为0.09s,后备保护动作时间为1.94s。 经计算,短路电流热效应Qdt =1O1OkA2s,请选择断路器的热稳定电流为()。 A.16kA; B.25kA; C.31.5kA; D.85k
选项 A。
答案 B
解析 根据《电力工程电气设计手册》(1)第6-1节第二条第(二)款公式6-3

猜你喜欢

发表评论
更多 网友评论0 条评论)
暂无评论
错误啦!

错误信息

  • 消息: [程序异常] : MISCONF Redis is configured to save RDB snapshots, but it's currently unable to persist to disk. Commands that may modify the data set are disabled, because this instance is configured to report errors during writes if RDB snapshotting fails (stop-writes-on-bgsave-error option). Please check the Redis logs for details about the RDB error.
  • 文件: /twcms/kongphp/cache/cache_redis.class.php
  • 位置: 第 85 行
    <?php echo 'KongPHP, Road to Jane.'; ?>