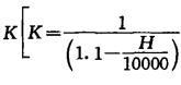
对于安装在海拔高度超过1000m地区的电气设备外绝缘一般应预加强。当海拔高度在()以下时,其工频和冲击试验电压应乘以系数,H为安装地点的海拔高度。A....

作者: rantiku 人气: - 评论: 0
问题 对于安装在海拔高度超过1000m地区的电气设备外绝缘一般应预加强。当海拔高度在()以下时,其工频和冲击试验电压应乘以系数 ,H为安装地点的海拔高度。
选项 A.2500m; B.3000m; C.3500m; D.4000m。
答案 D
解析

猜你喜欢

发表评论
更多 网友评论0 条评论)
暂无评论

访问排行

Copyright © 2012-2014 恰考网 Inc. 保留所有权利。 Powered by tikuer.com

页面耗时0.0662秒, 内存占用1.02 MB, Cache:redis,访问数据库13次