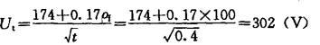
某220kV变电站,已知其站区的土壤电阻率ρ为1OOΩ*m,若接地短路(故障)电流的持续时间t取0.4s,试计算接地装置的接触电位差和跨步电位差的允许值,...

作者: rantiku 人气: - 评论: 0
问题 某220kV变电站,已知其站区的土壤电阻率ρ为1OOΩ*m,若接地短路(故障)电流的持续时间t取0.4s,试计算接地装置的接触电位差和跨步电位差的允许值, 接触电位差允许值计算结果是()。
选项 A.205V; B.284V, C.302V; D.358V。
答案 C
解析 根据《交流电气装置的接地》(DL/T621—1997)P3第3.4条计算公式计算如下

猜你喜欢

发表评论
更多 网友评论0 条评论)
暂无评论

访问排行

Copyright © 2012-2014 恰考网 Inc. 保留所有权利。 Powered by tikuer.com

页面耗时0.0402秒, 内存占用1.03 MB, Cache:redis,访问数据库20次