闭锁元件一负序电压动作值为A.1~2V;B.2.1~3V;C.3~4V;D.5~6V。

作者: rantiku 人气: - 评论: 0
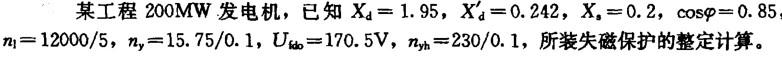
问题 闭锁元件一负序电压动作值为
选项 A.1~2V; B.2.1~3V; C.3~4V; D.5~6V。
答案 D
解析 根据《大型发电机变压器继电保护整定计算导则》(DL/T684—1999)4.6条的要求: 负序电压动作电压

猜你喜欢

发表评论
更多 网友评论0 条评论)
暂无评论

访问排行

Copyright © 2012-2014 恰考网 Inc. 保留所有权利。 Powered by tikuer.com

页面耗时0.0431秒, 内存占用1.03 MB, Cache:redis,访问数据库20次