某工程4台600MW发电机变压器组’主变压器髙压侧差动保护用TA变比为2000/1A,TPY。主变压器高压侧TV—次电压为500/√3kV,二次星形电压为...

作者: rantiku 人气: - 评论: 0
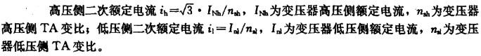
问题 某工程4台600MW发电机变压器组’主变压器髙压侧差动保护用TA变比为2000/1A,TPY。主变压器高压侧TV—次电压为500/√3kV,二次星形电压为0.1/√3kV和二次开口三角电压100V,主变压器容量为3X240MVA,主变压器变比为 550/√3-2X2.5%/22kV,Ud=14%,YNdll,主变压器低压侧差动保护TA变比为16000/1A,TPY0主变压器高压侧三相短路时,短路点系统侧电流27.5kA’发电机侧短路电流为9.882A,主变压器低压侧三相短路时,系统侧短路电流为93.7kA,本台发电机短路电流为105.3kA,其他发电机短路电流为25.6kA。变压器差动保护采用比率制动型,请根据上述已知条件回答下列问题 差动保护用TA,正确的接线形式是()。 A.高压側TA 二次接线应为三角形,低压侧接线应为星形;高压侧差动回路二次額定电流0.72A,低压侧为1.18A; B.高压侧TA二次接线应为星形,低压例接线应为三角形;高压侧差动回路二走額定电流0.72A,低压側为1.18A; C.高压侧TA二次接线应为三角形,低压侧接线应为星形;高压侧差动回路二次額定电流0.42A,低压侧为2.04A; D.高压侧TA二次接线应为星形,低压例接线应为三角形;高压侧差动田路二次額定电流0.42A,低压側为2.04
选项 A。
答案 A
解析 根据DL/T684—19995.1.3条的要求。

猜你喜欢

发表评论
更多 网友评论0 条评论)
暂无评论
错误啦!

错误信息

  • 消息: [程序异常] : MISCONF Redis is configured to save RDB snapshots, but it's currently unable to persist to disk. Commands that may modify the data set are disabled, because this instance is configured to report errors during writes if RDB snapshotting fails (stop-writes-on-bgsave-error option). Please check the Redis logs for details about the RDB error.
  • 文件: /twcms/kongphp/cache/cache_redis.class.php
  • 位置: 第 85 行
    <?php echo 'KongPHP, Road to Jane.'; ?>