某电厂扩建2X300MW国产亚临界燃煤机组,机组以发电机一变压器组单元接线接入220kV系统双母线,220kV配电装置采用双母线母联兼旁路母线接线方式’启...

作者: rantiku 人气: - 评论: 0
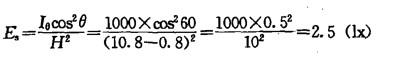
问题 某电厂扩建2X300MW国产亚临界燃煤机组,机组以发电机一变压器组单元接线接入220kV系统双母线,220kV配电装置采用双母线母联兼旁路母线接线方式’启动/备用电源由老厂110kV母线引接。 汽机房安装有一个深照型灯具,安装高度距地面10.8m,该灯具投射至被照点方向的光强为1000cd,被照点距地0.8m,光线与被照面法线的夹角为60°,该灯具在该点水平工作面上的照度为()lx。
选项 A.2.1; B.2.5; C.2.7; D.2.。
答案 B
解析 根据《电力工程电气设计手册》(1) 1080页,点光源在水平面上的照度计算

猜你喜欢

发表评论
更多 网友评论0 条评论)
暂无评论
错误啦!

错误信息

  • 消息: [程序异常] : MISCONF Redis is configured to save RDB snapshots, but it's currently unable to persist to disk. Commands that may modify the data set are disabled, because this instance is configured to report errors during writes if RDB snapshotting fails (stop-writes-on-bgsave-error option). Please check the Redis logs for details about the RDB error.
  • 文件: /twcms/kongphp/cache/cache_redis.class.php
  • 位置: 第 85 行
    <?php echo 'KongPHP, Road to Jane.'; ?>