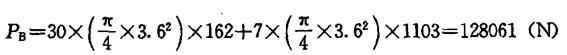
钢芯招绞线的强度,由铝绞强度总和加钢丝1%伸长时的强度总和组成。 钢芯铝绞线 LGJ300/70(结构为铝30/3.6,钢7/3.6),σ0=162N...

作者: rantiku 人气: - 评论: 0
问题 钢芯招绞线的强度,由铝绞强度总和加钢丝1%伸长时的强度总和组成。 钢芯铝绞线 LGJ300/70(结构为铝30/3.6,钢7/3.6),σ0=162N/mm2,σ1%=1103,其拉断力应为()。
选项 A.11OOOON; B.115000N; C.120000N; D.128000N。
答案 D
解析 根据《电力工程髙压送电线路设计手册》(第二版)。

猜你喜欢

发表评论
更多 网友评论0 条评论)
暂无评论
错误啦!

错误信息

  • 消息: [程序异常] : MISCONF Redis is configured to save RDB snapshots, but it's currently unable to persist to disk. Commands that may modify the data set are disabled, because this instance is configured to report errors during writes if RDB snapshotting fails (stop-writes-on-bgsave-error option). Please check the Redis logs for details about the RDB error.
  • 文件: /twcms/kongphp/cache/cache_redis.class.php
  • 位置: 第 85 行
    <?php echo 'KongPHP, Road to Jane.'; ?>