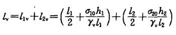
无论有无髙差,一个档距中电线的重量,将从其弧垂最低点分别传递到两侧杆塔上,该最低点到杆塔的距离称为该杆塔该侧的垂直档距(l1v或l2v),杆塔总的垂直档距...

作者: rantiku 人气: - 评论: 0
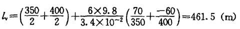
问题 无论有无髙差,一个档距中电线的重量,将从其弧垂最低点分别传递到两侧杆塔上,该最低点到杆塔的距离称为该杆塔该侧的垂直档距(l1v或l2v),杆塔总的垂直档距lv=l1v+l2v。 某直线塔位于斜坡上,l1=350m,h1= 70m,l2=400m,h2=—60m,σ=58.8N/mm2,7=3.4X1O-2 N/(m*mm2)。 其垂直档距为()。
选项 A.452m; B.461m; C.482m; D.513m。
答案 B
解析 根据《电力工程高压送电线路设计手册》(第二版)。183页,式(3-3-11),

猜你喜欢

发表评论
更多 网友评论0 条评论)
暂无评论
错误啦!

错误信息

  • 消息: [程序异常] : MISCONF Redis is configured to save RDB snapshots, but it's currently unable to persist to disk. Commands that may modify the data set are disabled, because this instance is configured to report errors during writes if RDB snapshotting fails (stop-writes-on-bgsave-error option). Please check the Redis logs for details about the RDB error.
  • 文件: /twcms/kongphp/cache/cache_redis.class.php
  • 位置: 第 85 行
    <?php echo 'KongPHP, Road to Jane.'; ?>