某500kV输变电工程建设主要数据假定如下:工程总投资(Z):30000万元(其中线路、变电所各50%)工程经济使用年限(n):25年检修、维...

作者: rantiku 人气: - 评论: 0
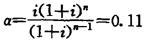
问题 某500kV输变电工程建设主要数据假定如下: 工程总投资(Z):30000万元(其中线路、变电所各50%) 工程经济使用年限(n):25年 检修、维护费率:线路2.2%、变电所4.2% 电力工业投资回收率(i):10% 方案年电能损失费用(u2):1350万元 注:因本工程建设时间短,投资和年运行费用不霈要折算。 投资(或资金)回收系数(。是()。
选项 A.0.13; B.0.10; C.0.11; D.0.12。
答案 C
解析

猜你喜欢

发表评论
更多 网友评论0 条评论)
暂无评论

访问排行

Copyright © 2012-2014 恰考网 Inc. 保留所有权利。 Powered by tikuer.com

页面耗时0.0491秒, 内存占用1.03 MB, Cache:redis,访问数据库20次