华中地区某发电厂装机为2X200MW+2X300MW,以发电机一变压器组单元接线接入220kV配电装置,送出线路共5回,每回线路的最大输送功率均为250M...

作者: rantiku 人气: - 评论: 0
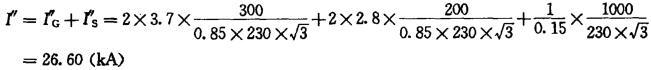
问题 华中地区某发电厂装机为2X200MW+2X300MW,以发电机一变压器组单元接线接入220kV配电装置,送出线路共5回,每回线路的最大输送功率均为250MW,220kV断路器选用SF6柱式断路器。根据系统计算,220kV电压波动范围是209~242kV,主变离压侧抽头为(242—2X2.5%)kV。 发电机的额定功率因数均为0.85。 300MW发电机出口电压为20kV、200MW发电机出口电压为15.75kV。 该电厂年利用小时数为3000h,上网电价为0.20元/kWh。 厂址内最热月平均最高温度为40℃。 已知:220kV系统侧电抗为0.15 (Sj=1OOOMVA),运算曲线中,300MW发电机短路电流标么值是3.7,200MW发电机短路电流标么值是2.8。当220kV母线发生三相短路时,母线短路电流周期分量有效值是()。 A.34.55kA; B.24.71kA; C.33.05kA; D.26.60k
选项 A。
答案 D
解析 解答过程:

猜你喜欢

发表评论
更多 网友评论0 条评论)
暂无评论

访问排行

Copyright © 2012-2014 恰考网 Inc. 保留所有权利。 Powered by tikuer.com

页面耗时0.0674秒, 内存占用1.03 MB, Cache:redis,访问数据库15次