某火力发电厂电气主接线如图2所示。为节约线路走廊,出线1和出线2为同塔双回送出,出线3和出线4也为同塔双回送出。 配电装置采用屋外敞开式普通中型配...

作者: rantiku 人气: - 评论: 0
问题 某火力发电厂电气主接线如图2所示。 为节约线路走廊,出线1和出线2为同塔双回送出,出线3和出线4也为同塔双回送出。 配电装置采用屋外敞开式普通中型配电装置,断路器单列式布置,间隔宽度15m,母线采用支持式铝管母线,管母外径150mm,两组母线间距为5m。 发电机额定容量均为300MW,最大连续容量为395MVA,母线穿越容量为800MVA。 220kV最大短路电流为40kA,短路切除时间为0.3s.每台机厂用负荷为32MVA。 按照图2中接线,以下关于接地开关配置的说法中,正确的是()。
选项 A.每组母线应配1~2组接地开关; B.主变压器髙压側各配置1组接地开关; C.母线隔离开关的断路器侧均应配里1组接地开关; D.母线隔离开关的母线侧均应配置1组接地开关。
答案 B
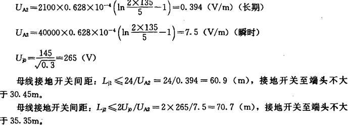
解析 解答过程: 配电装置母线长度计算:9个间隔,9X15=135(m) Ig=2100A,I"=40kA,按《电力工程电气设计手册》(1)574页公式计算: 因此,需要装设3组接地开关。故A不正确。 C、D也不正确,接地开夭配置太多,不必要。

猜你喜欢

发表评论
更多 网友评论0 条评论)
暂无评论

访问排行

Copyright © 2012-2014 恰考网 Inc. 保留所有权利。 Powered by tikuer.com

页面耗时0.0523秒, 内存占用1.03 MB, Cache:redis,访问数据库20次