某电厂新建4X300MW国产亚临界燃煤发电机组,以500kV升高电压接入系统,500kV出线2回,500kV出线及母线均不装设高压并联电抗器。4台机组连续...

作者: rantiku 人气: - 评论: 0
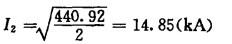
问题 某电厂新建4X300MW国产亚临界燃煤发电机组,以500kV升高电压接入系统,500kV出线2回,500kV出线及母线均不装设高压并联电抗器。4台机组连续建设,均采用发电机一变压器组单元接线接入厂内5OOkV每线,该电厂是区域性主力电源,在系统中具有十分重要的地位。取基准容量Sj=1OOMVA,500kV系统正、负序电抗为0.006,零序阻抗为0.013;主变压器370MVA,Ud=14%,零序阻抗105.1Ω;发电机额定功率3OOMW,最大连续功率33OMW,直轴超瞬变电抗(饱和值)X"d=16%,负序电抗(饱和值)X2=17.18%,零序电抗(饱和值)X0=7.3%,cosφ=0.85,出口电压为20kV。主保护动作时间加相应断路器开断时间为0.1s,后备保护动作时间加相应断路器开断时间为1s。 已知短路电流热效应计算时间取Is时,短路电流热效应Qt0.1=68.24kA2*S,t=1s时,Qt1=440.92kA2*S,假定500kV母线三相短路电流周期分量起始有效值为24.32kA,单相短路电流值为25.40kA。请在下列数据中选择一组作为500kV断路器选择的技术条件()。 A.1s热稳定电流>20.10kA,額定开断电流>24.32kA; B.1s热稳定电流>20.10kA,额定开断电流>25.40kA; C. 2s热稳定电流>14.85kA,額定开断电流>24.32kA; D. 2s热稳定电流>14.85kA,额定开断电流>25.40k
选项 A。
答案 C
解析 解答过程: 根据《导体和电器选择设计技术规定》(DL/T5222—2005)。 1)按第9.2.4条规定,持续时间为2s。 2) 2s热稳定电流计算 3)按第9. 2.16条规定,所选断路器额定开断电流应不小于最大短路电流。

猜你喜欢

发表评论
更多 网友评论0 条评论)
暂无评论

访问排行

Copyright © 2012-2014 恰考网 Inc. 保留所有权利。 Powered by tikuer.com

页面耗时0.0629秒, 内存占用1.03 MB, Cache:redis,访问数据库17次