为了解超高压和特高压线路电晕放电现象需计算导线表面电场强度及电晕临界电场强度。其比值是导线电晕及电晕损失的基本判据。如某5OOkV超高压单回线路,导线为4...

作者: rantiku 人气: - 评论: 0
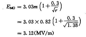
问题 为了解超高压和特高压线路电晕放电现象需计算导线表面电场强度及电晕临界电场强度。其比值是导线电晕及电晕损失的基本判据。如某5OOkV超高压单回线路,导线为4XLGJ-400/50(d0=27.63mm),正方形排列,导线间距0.45m,相间距离12m’水平排列,导线对地平均高度为15m。最髙运行电压525kV,平均正序电容(边相)为0.013Xl0-6 F/km试计算: 在标准气象条件下(气压P=1O1. 325X1O3Pa,气温t=20℃,相对空气密度δ=1),该导线的电晕临界电场强度为()MV/m。
选项 A.2.9; B.2.96; C.3.O1; D.3.12。
答案 D
解析 解答过程:根据《电力工程高压送电线路设计手册》(第二版〉30页式(2-2-2)

猜你喜欢

发表评论
更多 网友评论0 条评论)
暂无评论

访问排行

Copyright © 2012-2014 恰考网 Inc. 保留所有权利。 Powered by tikuer.com

页面耗时0.0422秒, 内存占用1.03 MB, Cache:redis,访问数据库13次