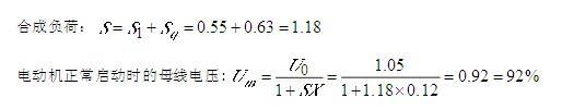
当A段母线上容量为3200kW的给水泵电动机起动时,其母线已带负荷为19141kVA,求该电动机起动时的母线电压百分数为下列哪项值?(已知该电动机起动电流...

作者: rantiku 人气: - 评论: 0
问题
选项 当A段母线上容量为3200kW的给水泵电动机起动时,其母线已带负荷为19141kVA,求该电动机起动时的母线电压百分数为下列哪项值?(已知该电动机起动电流倍数为6、额定效率为0.963、功率因数为0.9) (A)88% (B)92% (C)93% (D)97%
答案 B
解析

猜你喜欢

发表评论
更多 网友评论0 条评论)
暂无评论

访问排行

Copyright © 2012-2014 恰考网 Inc. 保留所有权利。 Powered by tikuer.com

页面耗时0.0503秒, 内存占用1.03 MB, Cache:redis,访问数据库18次