某110/10kV变电所,两台主变,两回110kV电源进线,110kV内桥接线,10kV为单母线分段接线(分列运行),电气主接线见下图。110kV桥开关和...

作者: rantiku 人气: - 评论: 0
问题 某110/10kV变电所,两台主变,两回110kV电源进线,110kV内桥接线,10kV为单母线分段接线(分列运行),电气主接线见下图。110kV桥开关和10kV分段开关均装设备用电源自动投入装置。系统1和系统2均为无穷大系统。架空线路1长70公里,架空线路2长30公里。该变电所主变压器负载率不超过60%,系统基准容量为100MVA。请回答下列问题:
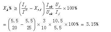
选项 如主变压器10kV回路串联3000A电抗器限制短路电流,若需将10kV母线短路电流从25kA限制到20kA以下,请计算并选择该电抗器的电抗百分值为下列哪项? (A) 3% (B) 4% (C) 6% (D) 8%
答案 B
解析 根据《电力工程电气设计手册1》P253,第6-6节,式(6-14)

猜你喜欢

发表评论
更多 网友评论0 条评论)
暂无评论

访问排行

Copyright © 2012-2014 恰考网 Inc. 保留所有权利。 Powered by tikuer.com

页面耗时0.0690秒, 内存占用1.03 MB, Cache:redis,访问数据库18次