某区域电网中现运行一座500kV变电所,根据负荷发展情况需要扩建,该变电所现状、本期及远 景规模如下表:该变电所现有750MVA主变阻抗电压百分比为U...

作者: rantiku 人气: - 评论: 0
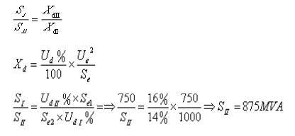
问题 某区域电网中现运行一座500kV变电所,根据负荷发展情况需要扩建,该变电所现状、本期及远 景规模如下表:
选项 该变电所现有750MVA主变阻抗电压百分比为Uk1-2%=14%,本期扩建的2*1000MVA主变阻抗电压百分比采用Uk1-2%=16%
答案 D
解析 依据教材,当并列运行的变压器的阻抗电压不等时,变压器所带负荷与阻抗大小成反比

猜你喜欢

发表评论
更多 网友评论0 条评论)
暂无评论
错误啦!

错误信息

  • 消息: [程序异常] : MISCONF Redis is configured to save RDB snapshots, but it's currently unable to persist to disk. Commands that may modify the data set are disabled, because this instance is configured to report errors during writes if RDB snapshotting fails (stop-writes-on-bgsave-error option). Please check the Redis logs for details about the RDB error.
  • 文件: /twcms/kongphp/cache/cache_redis.class.php
  • 位置: 第 85 行
    <?php echo 'KongPHP, Road to Jane.'; ?>