某区域电网中现运行一座500kV变电所,根据负荷发展情况需要扩建,该变电所现状、本期及远 景规模如下表:请计算本期扩建的2台1000MVA主变满载时,...

作者: rantiku 人气: - 评论: 0
问题 某区域电网中现运行一座500kV变电所,根据负荷发展情况需要扩建,该变电所现状、本期及远 景规模如下表:
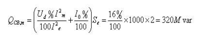
选项 请计算本期扩建的2台1000MVA主变满载时,最大无功损耗为下列哪项数值?(不考虑变压器空载电流) (A)105MVar(B)160MVar(C)265MVar(D)320MVar
答案 D
解析 电力设计手册(1)P476第9-2节式(9-2)。当不考虑变压器空载电流时,且变压器最大负荷电流为其额定电流,则最大无功损耗:这也是变压器所需补偿的最大容性无功

猜你喜欢

发表评论
更多 网友评论0 条评论)
暂无评论

访问排行

Copyright © 2012-2014 恰考网 Inc. 保留所有权利。 Powered by tikuer.com

页面耗时0.0478秒, 内存占用1.03 MB, Cache:redis,访问数据库15次