某125MW火电机组低压厂变回路从6kV厂用工作段母线引接,该母线短路电流周期分量起始值为28kA。低压厂变为油浸自冷式三相变压器,参数为:阻抗电压接线组...

作者: rantiku 人气: - 评论: 0
问题 某125MW火电机组低压厂变回路从6kV厂用工作段母线引接,该母线短路电流周期分量起始值为28kA。低压厂变为油浸自冷式三相变压器,参数为:阻抗电压接线组别Dyn11,额定负载的短路损耗 空气断路器。该变压器高压侧至6kV开关柜用电缆连接;低压侧0.4kV至开关柜用硬导体连接,该段硬导体每相阻抗为;中性点直接接地。低压厂变设主保护和后备保护,主保护动作时间 为20ms,后备保护动作时间为300ms。低压厂变回路接线及布置见下图,请解答下列各小题(计算题按最接近数值选项):
选项 若0.4kV开关柜内电阻忽略,计算空气断路器DL2的PC母线侧短路时,流过该断路器的三相短路电流周期分量起始值最接近下列哪项数值?(变压器相关阻抗按照《电力工程电气设计手册1》计算) (A) 32.08kA (B) 30.30kA (C) 27.00kA (D) 29.61kA
答案 B
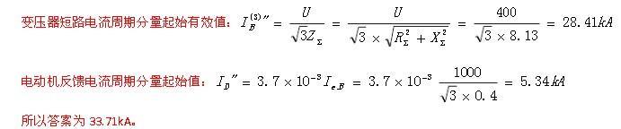
解析 根据《电力工程电气设计手册1》第4-10节: 系统阻抗

猜你喜欢

发表评论
更多 网友评论0 条评论)
暂无评论

访问排行

Copyright © 2012-2014 恰考网 Inc. 保留所有权利。 Powered by tikuer.com

页面耗时0.0408秒, 内存占用1.03 MB, Cache:redis,访问数据库17次