220kV变电所,一期2*180MVA主变,远景3*180MVA主变。三相有载调压,三相容量分别为180/180/90,Ynynd11接线。调压230(8...

作者: rantiku 人气: - 评论: 0
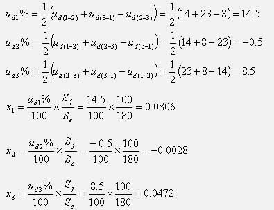
问题 220kV变电所,一期2*180MVA主变,远景3*180MVA主变。三相有载调压,三相容量分别为180/180/90,Ynynd11接线。调压230(8)*1.25%/117kV/37kV,百分电抗X1高中=14,X1高低=23,X1中低=8,要求一期建成后,任一主变停役,另一台主变可保证承担负荷的75%,220kV正序电抗标幺值0.0068(设SB=100MVA),110kV、35kV侧无电源。
选项 正序电抗标幺值X1高、X1中、X1低最接近: A 0.1612 -0.0056 0.0944 B 0.0806 -0.0028 0.0472 C 0.0806 -0.0028 0.0944 D 0.2611 -0.0091 0.1529
答案 B
解析

猜你喜欢

发表评论
更多 网友评论0 条评论)
暂无评论

访问排行

Copyright © 2012-2014 恰考网 Inc. 保留所有权利。 Powered by tikuer.com

页面耗时0.0360秒, 内存占用1.03 MB, Cache:redis,访问数据库20次