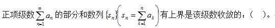
(A)充分必要条件 (B)充分条件而非必要条件(C)必要条件而非充分条件 (D)既非充分又非必要条件

作者: rantiku 人气: - 评论: 0
问题 (A)充分必要条件 (B)充分条件而非必要条件 (C)必要条件而非充分条件 (D)既非充分又非必要条件
选项
答案 A
解析

猜你喜欢

发表评论
更多 网友评论0 条评论)
暂无评论

Copyright © 2012-2014 恰考网 Inc. 保留所有权利。 Powered by tikuer.com

页面耗时0.0322秒, 内存占用1.03 MB, Cache:redis,访问数据库20次