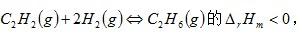
已知反应的 ,当反应达平衡后,欲使反应向右进行,可采取的方法是:( )。(A)升温,升压 (B)升温,减压 (C)降温,升压 (D)降温,减压

作者: rantiku 人气: - 评论: 0
问题 已知反应的 ,当反应达平衡后,欲使反应向右进行,可采取的方法是:( )。 (A)升温,升压 (B)升温,减压 (C)降温,升压 (D)降温,减压
选项
答案 C
解析

猜你喜欢

发表评论
更多 网友评论0 条评论)
暂无评论

Copyright © 2012-2014 恰考网 Inc. 保留所有权利。 Powered by tikuer.com

页面耗时0.0506秒, 内存占用1.03 MB, Cache:redis,访问数据库20次