对某一流段,设其上、下游两断面1-1、2-2的断面面积分别为A1、A2,断面流速分别为v1、V2,两断面上任一点相对于选定基准面的高程分别为Z1、Z2,相...

作者: rantiku 人气: - 评论: 0
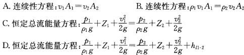
问题 对某一流段,设其上、下游两断面1-1、2-2的断面面积分别为A1、A2,断面流速分别为v1、V2,两断面上任一点相对于选定基准面的高程分别为Z1、Z2,相应断面同一选定点的压强分别为P1、P2,两断面处的流体密度分别为ρ1、ρ2,流体为不可压缩流体,两断面间的水头损失为。下列方程表述一定错误的是:
选项
答案 C
解析 解题中巳给出两断面间有水头损失,而选项C中未计及,所以是错误的。

猜你喜欢

发表评论
更多 网友评论0 条评论)
暂无评论

Copyright © 2012-2014 恰考网 Inc. 保留所有权利。 Powered by tikuer.com

页面耗时0.0347秒, 内存占用1.03 MB, Cache:redis,访问数据库19次