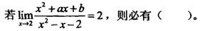
A. a = 2,b = 8B. a = 2,b = 5C. a = 0,b = -8D. a = 2,b = -8

作者: rantiku 人气: - 评论: 0
问题
选项 A. a = 2,b = 8 B. a = 2,b = 5 C. a = 0,b = -8 D. a = 2,b = -8
答案 D
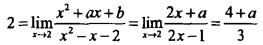
解析 正确答案是D。 提示:当x→2,分母极限为零,分子也必须为零,故有4 + 2a + b = 0;利用洛必达法则, 所以a=2,代入4 + 2a + b= 0有b=-8。

猜你喜欢

发表评论
更多 网友评论0 条评论)
暂无评论

Copyright © 2012-2014 恰考网 Inc. 保留所有权利。 Powered by tikuer.com

页面耗时0.0443秒, 内存占用1.03 MB, Cache:redis,访问数据库18次