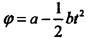
一定轴转动刚体,其转动方程为,其中a、b均为常数,则知该刚体做( )。A.匀加速转动B.匀减速转动C.匀速转动D.无法判断

作者: rantiku 人气: - 评论: 0
问题 一定轴转动刚体,其转动方程为,其中a、b均为常数,则知该刚体做( )。
选项 A.匀加速转动 B.匀减速转动 C.匀速转动 D.无法判断
答案 A
解析 提示:将转动方程对时间求一、二阶导数,得到ω与α同符号。

猜你喜欢

发表评论
更多 网友评论0 条评论)
暂无评论

Copyright © 2012-2014 恰考网 Inc. 保留所有权利。 Powered by tikuer.com

页面耗时0.0315秒, 内存占用1.03 MB, Cache:redis,访问数据库17次