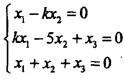
设齐次方程组,当方程组有非零解时,k值为( )。A. -2或3B. 2或3C. 2或-3D. -2或-3

作者: rantiku 人气: - 评论: 0
问题 设齐次方程组,当方程组有非零解时,k值为( )。
选项 A. -2或3 B. 2或3 C. 2或-3 D. -2或-3
答案 A
解析 提示:由条件知,齐次方程组有非零解,故系数行列式等于零,

猜你喜欢

发表评论
更多 网友评论0 条评论)
暂无评论

Copyright © 2012-2014 恰考网 Inc. 保留所有权利。 Powered by tikuer.com

页面耗时0.0375秒, 内存占用1.01 MB, Cache:redis,访问数据库17次