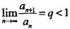
对正项级数 ,则是此正项级数收敛的( )。A.充分条件,但非必要条件B.必要条件,但非充分条件C.充分必要条件D.既非充分条件,又非必要条件

作者: rantiku 人气: - 评论: 0
问题 对正项级数 ,则是此正项级数收敛的( )。
选项 A.充分条件,但非必要条件 B.必要条件,但非充分条件 C.充分必要条件 D.既非充分条件,又非必要条件
答案 A
解析 提示:利用比值审敛法。

猜你喜欢

发表评论
更多 网友评论0 条评论)
暂无评论

Copyright © 2012-2014 恰考网 Inc. 保留所有权利。 Powered by tikuer.com

页面耗时0.0458秒, 内存占用1.02 MB, Cache:redis,访问数据库14次