点 M(1,2,1)到平面x+ 2y+2z= 10的距离是( )。A.1B. 土 1C. -1D. 1/3

作者: rantiku 人气: - 评论: 0
问题 点 M(1,2,1)到平面x+ 2y+2z= 10的距离是( )。
选项 A.1 B. 土 1 C. -1 D. 1/3
答案 A
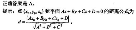
解析

猜你喜欢

发表评论
更多 网友评论0 条评论)
暂无评论

Copyright © 2012-2014 恰考网 Inc. 保留所有权利。 Powered by tikuer.com

页面耗时0.0419秒, 内存占用1.03 MB, Cache:redis,访问数据库20次