某家庭预计今后20年内的每月月末收入为6800元,如月收入的40%可以用于支 付住房抵押贷款的月还款额,在年贷款利率为6%的情况下,该家庭有偿还能力的最大...

作者: rantiku 人气: - 评论: 0
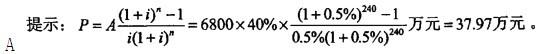
问题 某家庭预计今后20年内的每月月末收入为6800元,如月收入的40%可以用于支 付住房抵押贷款的月还款额,在年贷款利率为6%的情况下,该家庭有偿还能力的最大抵押贷 款额为( )万元。
选项 A. 37.97 B. 37.44 C. 94.93 D. 37.87
答案 A
解析

猜你喜欢

发表评论
更多 网友评论0 条评论)
暂无评论

Copyright © 2012-2014 恰考网 Inc. 保留所有权利。 Powered by tikuer.com

页面耗时0.0437秒, 内存占用1.03 MB, Cache:redis,访问数据库20次