某一弱酸的标准解离常数为1.0×10-5则相应强碱弱酸盐MA的标准水解常数为 ()。A. 1.0×10-9B. 1.0×10-2C. 1.0×10...

作者: rantiku 人气: - 评论: 0
问题 某一弱酸的标准解离常数为1.0×10-5则相应强碱弱酸盐MA的标准水解常数为 ()。
选项 A. 1.0×10-9 B. 1.0×10-2 C. 1.0×10-19 D. 1.0×10-5
答案 A
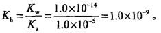
解析 提示:强碱弱酸盐MA水解反应MA+H2O=HA+MOH,其水解常数为

猜你喜欢

发表评论
更多 网友评论0 条评论)
暂无评论

Copyright © 2012-2014 恰考网 Inc. 保留所有权利。 Powered by tikuer.com

页面耗时0.0344秒, 内存占用1.03 MB, Cache:redis,访问数据库18次