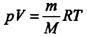
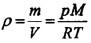
已知某理想气体的压强为p,体积为V,温度为T,气体的摩尔质量为M, k为玻耳兹曼常量,R为摩尔气体常量,则该理想气体的密度为( )。A. M/VB. ...

作者: rantiku 人气: - 评论: 0
问题 已知某理想气体的压强为p,体积为V,温度为T,气体的摩尔质量为M, k为玻耳兹曼常量,R为摩尔气体常量,则该理想气体的密度为( )。
选项 A. M/V B. pM/(RT) C. pM/(kT) D. p/(RT)
答案 B
解析 提示:由理想气体状态方程,理想气体的密度

猜你喜欢

发表评论
更多 网友评论0 条评论)
暂无评论

Copyright © 2012-2014 恰考网 Inc. 保留所有权利。 Powered by tikuer.com

页面耗时0.0310秒, 内存占用1.03 MB, Cache:redis,访问数据库20次