A. 100B. 2x10-2C. 2500D. 4×10-4

作者: rantiku 人气: - 评论: 0
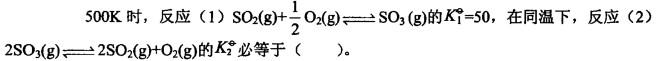
问题
选项 A. 100 B. 2x10-2 C. 2500 D. 4×10-4
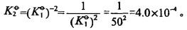
答案 D
解析 提示:反应(2)=-2(1),反应方程式乘以某个系数,系数体现在平衡常数指数项上。 由此可得:

猜你喜欢

发表评论
更多 网友评论0 条评论)
暂无评论

Copyright © 2012-2014 恰考网 Inc. 保留所有权利。 Powered by tikuer.com

页面耗时0.0418秒, 内存占用1.01 MB, Cache:redis,访问数据库20次