有两种理想气体,第一种的压强记作p1,体积记作V1,温度记作T1,总质量记作m1 , 摩尔质量记作M1;第二种的压强记作p2,体积记作V2,温度记作T2,...

作者: rantiku 人气: - 评论: 0
问题 有两种理想气体,第一种的压强记作p1,体积记作V1,温度记作T1,总质量记作m1 , 摩尔质量记作M1;第二种的压强记作p2,体积记作V2,温度记作T2,总质量记作m2,摩尔质量记作M2。当V1=V2,T1=T2,m1=m2时,则M1/M2为( )。
选项
答案 D
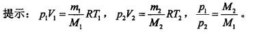
解析

猜你喜欢

发表评论
更多 网友评论0 条评论)
暂无评论

Copyright © 2012-2014 恰考网 Inc. 保留所有权利。 Powered by tikuer.com

页面耗时0.0818秒, 内存占用1.01 MB, Cache:redis,访问数据库19次