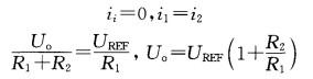
如图所示电路中,A为理想运算放大器,三端集成稳压器的2、3端之间的电压用UREF表示,则电路的输出电压可表示为( )。

作者: rantiku 人气: - 评论: 0
问题 如图所示电路中,A为理想运算放大器,三端集成稳压器的2、3端之间的电压用UREF表示,则电路的输出电压可表示为( )。
选项
答案 C
解析 解设流过电阻R1的电流为i1,流过电阻R2的电流为i2,流进运放A的同相输入端的电流为ii,由于A是理想运算放大器,则由虚断的特点可得: 答案:C

猜你喜欢

发表评论
更多 网友评论0 条评论)
暂无评论

Copyright © 2012-2014 恰考网 Inc. 保留所有权利。 Powered by tikuer.com

页面耗时0.0459秒, 内存占用1.01 MB, Cache:redis,访问数据库14次