两瓶理想气体A和B, A为1mol氧气,B为1mol甲烷(CH4),它们的内能相同。 那么它们分子的平均平动动能之比为( )。A. 1:1B. 2:3...

作者: rantiku 人气: - 评论: 0
问题 两瓶理想气体A和B, A为1mol氧气,B为1mol甲烷(CH4),它们的内能相同。 那么它们分子的平均平动动能之比为( )。
选项 A. 1:1 B. 2:3 C. 4:5 D. 6:5
答案 D
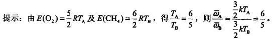
解析

猜你喜欢

发表评论
更多 网友评论0 条评论)
暂无评论

Copyright © 2012-2014 恰考网 Inc. 保留所有权利。 Powered by tikuer.com

页面耗时0.0414秒, 内存占用1.03 MB, Cache:redis,访问数据库20次