圆形截面的轴向拉压杆,若把直径改为原来的一半,其他条件不变,则改变后杆的总伸长是原来的( )倍。A 2 B 4 C 8 D 16

作者: tihaiku 人气: - 评论: 0
问题 圆形截面的轴向拉压杆,若把直径改为原来的一半,其他条件不变,则改变后杆的总伸长是原来的( )倍。
选项 A 2 B 4 C 8 D 16
答案 B
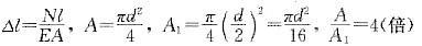
解析

相关内容:圆形,拉压,直径,条件

猜你喜欢

发表评论
更多 网友评论0 条评论)
暂无评论

Copyright © 2012-2014 恰考网 Inc. 保留所有权利。 Powered by tikuer.com

页面耗时0.0265秒, 内存占用1.04 MB, Cache:redis,访问数据库19次