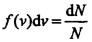
某种理想气体的总分子数为N,分子速率分布函数为f(v),则速率在v1~v2区间内的分子数是()。

作者: rantiku 人气: - 评论: 0
问题 某种理想气体的总分子数为N,分子速率分布函数为f(v),则速率在v1~v2区间内的分子数是()。
选项
答案 B
解析 提示:此题考核知识点为麦克斯韦速率分布律。因为,所以为速率在v1~v2区间内的分子数。

猜你喜欢

发表评论
更多 网友评论0 条评论)
暂无评论

Copyright © 2012-2014 恰考网 Inc. 保留所有权利。 Powered by tikuer.com

页面耗时0.0332秒, 内存占用1.03 MB, Cache:redis,访问数据库18次