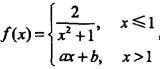
设函数,可导,则必有( )。A. a = 1,b = 2B. a = -1,b = 2C. a = 1,b = 0D. a = -1,b = 0

作者: rantiku 人气: - 评论: 0
问题 设函数,可导,则必有( )。
选项 A. a = 1,b = 2 B. a = -1,b = 2 C. a = 1,b = 0 D. a = -1,b = 0
答案 D
解析

猜你喜欢

发表评论
更多 网友评论0 条评论)
暂无评论

Copyright © 2012-2014 恰考网 Inc. 保留所有权利。 Powered by tikuer.com

页面耗时0.0411秒, 内存占用1.01 MB, Cache:redis,访问数据库19次