参数方程确定了y是x的函数,且f,(t)存在,f(0) = 2, f,(0) = 2,则当t=0时,dy/dx的值等于( )。A. 4/3B. -4/...

作者: rantiku 人气: - 评论: 0
问题 参数方程确定了y是x的函数,且f,(t)存在,f(0) = 2, f,(0) = 2,则当t=0时,dy/dx的值等于( )。
选项 A. 4/3 B. -4/3 C. -2 D. 2
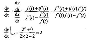
答案 D
解析 正确答案是D。 提示:由参数方程求导公式

猜你喜欢

发表评论
更多 网友评论0 条评论)
暂无评论

Copyright © 2012-2014 恰考网 Inc. 保留所有权利。 Powered by tikuer.com

页面耗时0.0652秒, 内存占用1.03 MB, Cache:redis,访问数据库18次