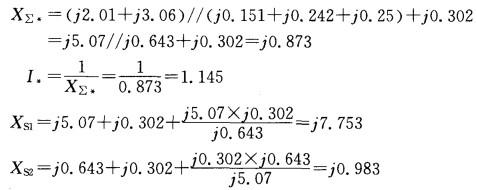
如图所示为某系统等值电路,各元件参数标么值标在图中,f点发生三相短路时,短路点的总电路电流及各电源对短路点的短路阻抗分别为( )。A. 1. 136 ...

作者: rantiku 人气: - 评论: 0
问题 如图所示为某系统等值电路,各元件参数标么值标在图中,f点发生三相短路时,短路点的总电路电流及各电源对短路点的短路阻抗分别为( )。
选项 A. 1. 136 0. 25 0. 033 B. 2. 976 9. 72 1. 930 C. 11. 360 9. 72 0.993 D. 1. 145 7. 753 0. 983
答案 D
解析 解 如图a)、b)所示,系统的总电抗为: 答案:D

猜你喜欢

发表评论
更多 网友评论0 条评论)
暂无评论

Copyright © 2012-2014 恰考网 Inc. 保留所有权利。 Powered by tikuer.com

页面耗时0.0399秒, 内存占用1.01 MB, Cache:redis,访问数据库18次