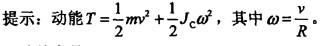
半径为R、质量为m的均质圆轮沿斜面作纯滚动如图4-75所示。已知轮心C的速度为V、加速度为a,则该轮的动能为( )。 A. 1/2mv2B. 3/...

作者: rantiku 人气: - 评论: 0
问题 半径为R、质量为m的均质圆轮沿斜面作纯滚动如图4-75所示。已知轮心C的速度为V、加速度为a,则该轮的动能为( )。
选项 A. 1/2mv2 B. 3/2mv2 C. 3/4mv2 D. 1/4mv2
答案 C
解析

猜你喜欢

发表评论
更多 网友评论0 条评论)
暂无评论

Copyright © 2012-2014 恰考网 Inc. 保留所有权利。 Powered by tikuer.com

页面耗时0.0328秒, 内存占用1.03 MB, Cache:redis,访问数据库18次