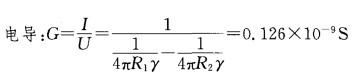
球形电容器的内半径R1=5cm,外半径R2 = 10cm。若介质的电导率γ= 10-10S/m,则球形电容器的漏电导为()。A. 0.2X10-9 S...

作者: rantiku 人气: - 评论: 0
问题 球形电容器的内半径R1=5cm,外半径R2 = 10cm。若介质的电导率γ= 10-10S/m,则球形电容器的漏电导为()。
选项 A. 0.2X10-9 S B. 0.15X10-9 S C. 0. 126X10-9 S D. 0.10X10-9 S
答案 C
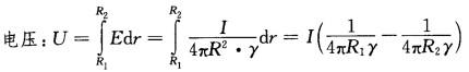
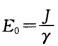
解析 解设内导体流出的电流为I,由对称可得电容器内电流密度J = ,则电场强度 答案:C

猜你喜欢

发表评论
更多 网友评论0 条评论)
暂无评论

Copyright © 2012-2014 恰考网 Inc. 保留所有权利。 Powered by tikuer.com

页面耗时0.0355秒, 内存占用1.01 MB, Cache:redis,访问数据库18次