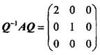
设A是3阶矩阵,P = (α1,α2,α3)是3阶可逆矩阵,且,若矩阵Q=(α2,α1,α3),则Q-1AQ=( )。

作者: rantiku 人气: - 评论: 0
问题 设A是3阶矩阵,P = (α1,α2,α3)是3阶可逆矩阵,且,若矩阵Q=(α2,α1,α3),则Q-1AQ=( )。
选项
答案 B
解析 提示:由条件知,λ1=1,λ2=2,λ3=0是矩阵A的特征值,而α1,α2,α3是对应的特征向量,故有

猜你喜欢

发表评论
更多 网友评论0 条评论)
暂无评论

Copyright © 2012-2014 恰考网 Inc. 保留所有权利。 Powered by tikuer.com

页面耗时0.0306秒, 内存占用1.01 MB, Cache:redis,访问数据库18次