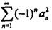
设0≤an≤1/n(n=1,2,…),下列级数中绝对收敛的是( )。

作者: rantiku 人气: - 评论: 0
问题 设0≤an≤1/n(n=1,2,…),下列级数中绝对收敛的是( )。
选项
答案 C
解析 提示:因为0n≤1/n(n=1,2,…),所以0≤an2≤1/n2,故绝对收敛。

猜你喜欢

发表评论
更多 网友评论0 条评论)
暂无评论

Copyright © 2012-2014 恰考网 Inc. 保留所有权利。 Powered by tikuer.com

页面耗时0.0505秒, 内存占用1.01 MB, Cache:redis,访问数据库20次