离散型随机变量X的分布为P(X=k) =cλk(k=0,1,2,...),则不等式不成立的是 ( )。A. c>0 B. 0

作者: rantiku 人气: - 评论: 0
问题 离散型随机变量X的分布为P(X=k) =cλk(k=0,1,2,...),则不等式不成立的是 ( )。
选项 A. c>0 B. 0
答案 D
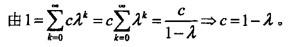
解析 提示:显然 A 和 B 成立,

猜你喜欢

发表评论
更多 网友评论0 条评论)
暂无评论

Copyright © 2012-2014 恰考网 Inc. 保留所有权利。 Powered by tikuer.com

页面耗时0.0341秒, 内存占用1.01 MB, Cache:redis,访问数据库20次