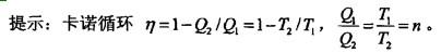
某理想气体在进行卡诺循环时,低温热源的温度为T,高温热源的温度为nT。则该理想气体在一个循环中从高温热源吸收的热量向低温热源放出的热量之比为( )。A.(...

作者: rantiku 人气: - 评论: 0
问题 某理想气体在进行卡诺循环时,低温热源的温度为T,高温热源的温度为nT。则该理想气体在一个循环中从高温热源吸收的热量向低温热源放出的热量之比为( )。
选项 A.(n+1):n B.(n-1):n C.n D.n-1
答案 C
解析

猜你喜欢

发表评论
更多 网友评论0 条评论)
暂无评论

Copyright © 2012-2014 恰考网 Inc. 保留所有权利。 Powered by tikuer.com

页面耗时0.0244秒, 内存占用1.03 MB, Cache:redis,访问数据库18次